公司新闻/正文
1057 人阅读发布时间:2022-02-08 14:45
医学论文预印本平台 medRxiv 近期发布了接种科兴新冠疫苗的临床数据报告《A third dose of inactivated vaccine augments the potency, breadth, and duration of anamnestic responses against SARS-CoV-2》[1]。
报告分享
这篇报告由中科院生物物理所王祥喜团队与复旦大学、中国食品药品检定研究院、北京大学、科兴生物、广东省疾控中心、广州实验室和浙江省疾控中心共同完成。报告剖析对比了来自3剂量接种者(3剂苗)、2剂量接种者和康复者的抗体免疫原性图谱,发现接种3剂苗有更好的中和突变体新冠病毒(VOCs,variants of concerns)广度,并快速引发B细胞记忆能力和更持久的体液应答,得出了注射第三剂灭活病毒疫苗可以增强免疫反应的结论。
本篇文章的关键在于解析这种现象的分子机制,对上百种SARS-CoV-2中和抗体的构效关系进行了分析,揭示了VOCs的广谱中和抗体分子原理。
本次研究对象包括22名新冠肺炎康复者、6名健康人和38名接种过2剂或3剂科兴新冠疫苗者,年龄16-69岁不等,中位数33岁。
抗体滴度和广谱中和性
第二次注射科兴疫苗6个月后,中和抗体水平GMT(PRNT50)降至7;第三次注射后,中和抗体水平的最大峰值在177,180天后仍有60,相当于第二次注射后的峰值。

3剂苗引起的抗体中和水平更高
病毒是不断突变的,疫苗产生抗体对突变体的中和能力下降是必然的,比如2剂苗对德尔塔病毒(B.1.617)的中和能力下降3.7倍,而3剂苗只下降了2.3倍,说明3剂苗能更好地抵抗病毒的突变。

3剂苗对突变体病毒的中和能力下降最小
3剂苗中和抗体的鉴定
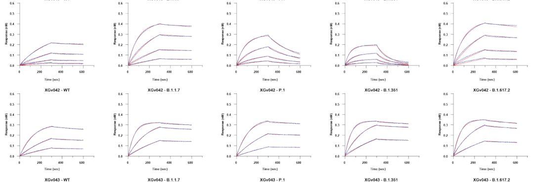
首先,用流式细胞术(赛多利斯也有流式细胞仪哦,联系我们获取更多产品信息资料)测定发现能产生S蛋白抗体的记忆B细胞比例,3剂苗要明显大于2剂苗,而且3剂苗的S蛋白记忆B细胞的克隆形成能力比2剂苗强。然后通过单个B细胞测序和分离技术,获得了3剂苗的主要抗体基因型,并从3剂苗人中提取了48个单克隆抗体。随后使用Octet®分子互作分析系统和ELISA检测了这些抗体与5种新冠病毒突变株的亲和力,发现这些抗体都可以结合这些突变株,只是针对NTD结构域的抗体对不同突变株的亲和力差异比较大,这个可能和NTD突变率关系较大。


Octet® Red 96e,用proteinA传感器固化抗体,与不同突变株RBD进行结合解离的部分数据。
中和抗体构效关系研究
构建了已知序列的171株抗体,分析了它们在RBD上的结合位点,总共分为I-VI结合部位。继续用Octet®和ELISA检测这些抗体的亲和力,发现识别IV,V,VI部位的抗体对突变敏感度较低。


上图为RBD蛋白抗体结合位点分类,下图为Octet®检测的抗体和不同突变体RBD的亲和力结果。

Octet®部分结果显示,结合I位点的CB6抗体与P.1以及B1.351无法结合,而结合IV位点的S309抗体与各种突变株都可以结合。
3剂苗对突变体的中和能力更强,可能是因为引发针对IV-VI部位的抗体比率增加。而且发现3剂苗(Late time point)的单克隆亲和力总体高于2剂苗(Early time point),并且体细胞高频突变率(SHM)与亲和力正相关。

3剂苗(Late time point)的平均单克隆亲和力KD < 1 nM,远远高于2剂苗亲和力KD(2.31 nM-7.75 nM)
本文同时用ELISA和Octet®检测亲和力,因为越来越多的客户发现光做ELISA是不够的,与ELISA相比Octet®的优势在于:
- 可以获得KD/kon/koff等动力学常数,对反应更加定量化
- 防止疏水包被导致的抗原表位丧失
- 检测灵敏度更高,可以很好区分 1 nM~1 pM的亲和力
- 没有洗涤步骤,可以检测解离快的弱结合
- 自动化,节约大量人工成本
总结
这篇文章放了10页的Octet®原始数据,每页有50个抗体反应,每个抗体4个浓度,共有2000对反应。与其他类似仪器相比,通量更高,使用更便捷的Octet®优势更大。这么多Octet®数据告诉您速度去预约第三剂疫苗!
文末彩蛋
Download
《生物层干涉技术应用文集
——病毒学基础研究及药物研发》
本文集通过对 Octet® 在病毒研究中分子结合动力学相关应用的梳理和分析,希望能够给广大科研工作者在病毒致病机理、病毒药物发现、病毒诊断检测、病毒疫苗研究等不同领域带来启示和帮助,促进我国病毒学、微生物学、免疫学等相关领域的发展。

扫二维码 下载全文

-参考文献-
https://www.medrxiv.org/content/10.1101/2021.09.02.21261735v1