公司新闻/正文
1237 人阅读发布时间:2022-04-20 17:15
前景介绍
生物创新药的开发是一个复杂的过程,而构建一个适合于生产的高表达稳定细胞株是第一步,也是关键的一步。挑选到理想的高表达克隆后,就要开始选择商业化培养基或者定制培养基进行细胞培养优化。高通量、标准化、自动化的细胞培养和工艺优化能帮助我们在获得更准确结果的同时加速细胞株开发进度。
Ambr® 15 高通量全自动细胞培养
Ambr®15细胞培养系统是全球实验室普遍应用的行业标准微型生物反应器系统。作为一个自动化、高通量的一次性生物反应器系统,其能够以10-15mL的体积模拟大规模生物反应器所提供的功能和工艺控制。该系统兼具并行处理能力和卓越的重现性,可快速实现包括实验设计(DOE)研究在内的高通量工艺优化,可有效缩短时间、减少试剂使用量并节省人工成本。
Octet® 非标记分子互作分析系统
Octet®系统采用非标记、无流路的生物层干涉(BLI)技术,采用浸入即读的检测方式,是列入美国药典的分子相互作用检测标准。基于生物层干涉技术原理,通过监测生物传感器表面的生物分子结合所带来的膜层厚度变化来检测分子间相互作用的动力学变化或者浓度数据。该系统在生命科学领域应用非常广泛。这些领域包括受体与抗体、病毒颗粒、重组蛋白和许多其他生物分子结合的动力学和亲和力常数分析。
本应用中,介绍了如何使用Ambr® 15高通量全自动细胞培养系统和Octet®非标记分子互作分析系统联合进行培养基筛选和工艺优化,加速细胞株开发工作流程,以超快速度筛选出高产量高质量的单克隆细胞株(图1)。

实验设计
实验1
培养基筛选
使用两个不同的克隆研究了五种不同的培养基
Ambr® 15细胞培养系统
生物反应器温度:36.8℃
接种细胞密度:3E5cells/mL
培养体积:13mL
PH:7.0(上限为7.1)
DO:40%
压载气体流速:0.15mL/min
搅拌速度:1300rpm
每天添加消泡剂和补料(见图2)

图2
Octet®中的产量(滴度)测定
仪器机型:Octet® R8
传感器类型:ProteinA/ ProteinG
定量时间:120s
样品板温度: 30℃

在本实验中,2个克隆在5种不同培养基中使用XR进行细胞计数,同时使用Octet®进行滴度测定。
结果与讨论
本应用通过对两个不同的克隆进行五种不同的培养基组合评估,证明了联合使用Ambr® 15和Octet®在一项实验中进行多种条件的便利、简单和速度。
克隆1的结果(图3)表明,五个培养基中活细胞计数和细胞活率基本一致,培养基3和培养基5中的最高细胞密度略高。产品滴度结果(图3B)表明,培养基5是生产mAb表现最理想的培养基。这与细胞特定生产率(Qp)(图3D)结果完全一致。

图3. 克隆1在不同培养基中的细胞计数和滴度分析。使用XR进行细胞计数,同时使用Octet®进行高通量滴度测定。
克隆2的结果(图4)显示,在五种培养基中,细胞生长情况相当,直到第6天以后,培养基1和培养基2中的活细胞密度峰值和细胞活率都超过了其他培养基。对于这个克隆,培养基3、4和5中的细胞活率从第8天起就开始下降。培养基1和培养基2中都有较高的产品滴度,但总体而言,培养基2在第8天后具有较高的生产力,导致较高的Qp(细胞特定生产率)数值(图4D)。

图4. 克隆2在不同培养基中的细胞计数和滴度分析。使用XR进行细胞计数,同时使用Octet®进行高通量滴度测定。
两个克隆的比较表明,克隆2达到的最大产品滴度是克隆1最大滴度的两倍以上。然而,如果选择培养基5作为最佳培养基,那么结果表明克隆2具有较低的性能,因为培养基5与该克隆组合时的生产率较低。因此,不应低估一起筛选多个克隆和不同培养基类型的影响,因为产品性能会有很大的不同。
实验2
工艺优化
MODD®软件设置DOE
Ambr® 15细胞培养系统
生物反应器温度:36.8℃
接种细胞密度:3E5cells/mL
培养体积:12~14 mL
PH:7.0(上限为7.1)
DO:40%
压载气体流速:0.05~0.25mL/min
搅拌速度:1050~1650rpm
每天添加消泡剂和补料
Octet®中的产量(滴度)测定
仪器机型:Octet® RH96
传感器类型:ProteinA/ ProteinG
定量时间:120s
样品板温度:30℃

在本实验中,搅拌速度、压载气体流速和起始体积是一项实验中可变的所有因素。我们通过MODD®软件设置DOE。

DOE研究的工艺参数和响应概述
结果与讨论
本研究利用Ambr® 15中的DOE MODDE®软件快速建立一个实验设计,改变相关生物工艺条件。在整个过程中使用Octet® 检测产量(滴度),可立即进行数据分析和进一步的实验计划,并对项目安排产生积极影响。
响应轮廓图(图5)显示了搅拌速度和通气速率组合如何影响Qp。在低速搅拌时,增加通气(空气)的流速有一个微小的但积极的影响,当搅拌速度增加到1200 rpm时,气体的流速似乎没有影响。然而,在最高的搅拌速度下,其实际上对Qp有不利的影响,较低的气体流速是可取的。总的来说,在较高的搅拌速度和较低的气体流速下,可看到最高的细胞特定生产率。

图5. 搅拌与通气对终点处Qp影响的响应轮廓图。在MODDE®软件中进行分析。
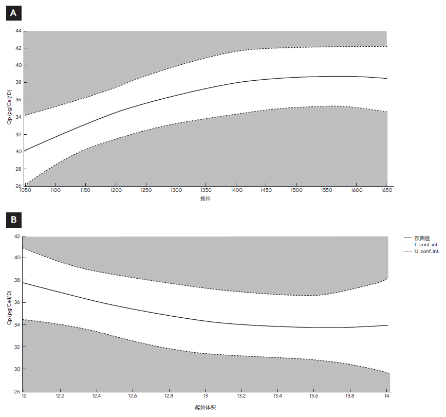
主效应图是一个单一工艺变量的各个水平下的平均响应值的图。本研究中搅拌速度的主效应图(图6A)表明随着搅拌速度提高到约1500rpm,之后细胞特异性生产率趋于平稳。虽然在较高的搅拌速度下获得了最大的Qp,但对于这个特定的克隆,较高的搅拌速度产生了较强的剪切力,细胞活率也会下降很快。起始体积的主效应图(图6B)显示,较低的培养体积提供了较高的Qp(每个细胞的收率较高)。在Ambr®15细胞培养系统中,顶空体积和液体体积之间的界面面积对整个罐体kLa的贡献比大型生物反应器要大。此外,较低的工作容积,在相同的搅拌速度下,单位体积的功率输入上升,这意味着直接用于破坏和促进气泡在液体中悬浮的能量输入更大,这也将对kLa做出重要贡献。因此,在工艺优化过程中,必须仔细考虑培养体积与其他参数的关系。

图6. (A)搅拌速度和(B)起始体积的细胞特定生产率(Qp)的主效应图。在MODDE®软件中进行分析。
总结
Ambr® 15高通量全自动细胞培养系统集成了XR和Ambr® 分析模块,功能强大;Octet®高通量分子互作分析系统,在培养基筛选和工艺优化实验中快速确定最佳收率条件,与全新推出的Octet® GlyS和GlyM试剂盒相结合,还可评估关键质量属性。加速整个细胞株开发流程,为新药上市赋能。
二者的主要优势有:
- 实验流程简化,具备并行筛选多种条件的能力;
- 控制性能提升,包括pH和DO在内的工艺参数;
- 样品无需处理,大大缩短了分析时间,Octet® RH96上可在5分钟内获得多达96个样品检测;
- 工艺优化中,证实了Octet®与Ambr®15在MODDE®软件上联合使用是评估各种参数的理想组合。
下载
下载应用指南《高效细胞株开发:结合Ambr® 15 细胞培养与Octet® 滴度测定加速工艺优化》了解更多高效细胞株开发策略

扫二维码 获取全文
