公司新闻/正文
583 人阅读发布时间:2022-03-18 14:11
Overview
QApp“测量不确定度”是赛多利斯Cubis® II高端天平QApp 制药软件包中提供的一种全新软件功能。QApp功能可根据EURAMET校准指南第18号“非自动衡器校准指南”1-3(以下简称“EURAMET cg-18”),动态显示测量不确定度。

Download
《测量不确定度》白皮书介绍了专为动态显示Cubis® II天平的测量不确定度而设计的全新软件功能。

扫二维码 获取全文


为什么不确定度的测量很重要?
如今高性能实验室天平可在各个方面为用户提供支持,具有较强的实用功能和监管功能。然而,高性能实验室天平是复杂且高度灵敏的测量设备。因此,根据设备的不同,安装位置和用户的专业知识等诸多不同影响因素均会影响其显示结果。
有一种全新的动态功能可在从零到最大量程的整个称重范围内显示每个测量值的不确定度。这特别有利于在受控环境中工作的客户,对他们来说,称重值的记录至关重要;该功能允许对每个称重值及其相应的不确定度进行打印。
赛多利斯服务可轻松设置所需的参数。考虑到多个参数对不确定度的影响,所用数值取自校准证书。所有影响参数在EURAMET cg-18中均有详细的定义和说明。
该软件功能对称重结果不确定度的测量计算包括许多方面的不确定度因素,例如,零读数和负载读数的四舍五入、重复性、四角偏差、天平可能发生的变化以及使用地点温度变化的浮力影响。此外,还包括示值误差,及其在校准过程中确定的插值。

理论背景
EURAMET cg-18 介绍了称重测量不确定度的完整计量学理论和背景。
通过以下已考虑多项修正值的公式,可对称重结果W的可能影响因素进行一般性说明:
W = W* + δRinstr + δRproc
在该方程中,W是天平校准后直接显示的重量值。δRinstr 项代表使用校准后的仪器时因环境影响而进行的修正。δRproc项包括因仪器操作引起的所有修正。
为了区分校准过程中的示值和在校准仪器后称重负载 L时的称重结果,必须考虑参数 R0 和 RL。
R0= 校准后在经校准仪器上无负载情况下的读数。
RL= 校准后在经校准仪器上称重负载 L 时的读数。
校准后直接显示的重量值,可用以下方程:
W*= RL +δRdigL + δRrep + δRecc - (R0 + δRdis0) - E
应考虑以下使用中读数的误差来源:
δRdis0= 零读数的四舍五入误差
δRdigL= 负载读数的四舍五入误差
δRrep= 仪器的重复性
δRecc= 四角偏差引起的误差
E= 校准证书中报告的读数显示误差
一般来说,仪器用户应意识到,在正常使用过程中,仪器称重与校准时称重在某些方面或通常在所有方面均不相同。
下项描述了仪器校准后在称重过程中个别环境影响引起的误差。
δRinstr =δRtemp+ δRbuoy+ δRadj
包括以下误差影响:
δRtemp=环境温度变化可能引起的仪器特性变化
δRbuoy=空气密度变化可能引起的浮力变化
δRadj=自校准以来漂移或磨损(校准证书中未考虑)可能引起的仪器特性变化。
由于仪器的特殊操作而产生的误差影响项为:
δRproc = δRTare + δRTime + δRecc
其中:
δRTare=天平除皮操作可能引起的变化
δRTime=蠕变和迟滞的可能影响(校准证书中未考虑)
δRecc=负载的四角偏差可能引起的误差。
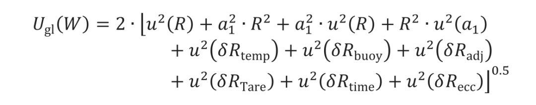
最后,可使用包含上述所有参数的以下公式计算测量的扩展不确定度Ugl (W):

这包括附加系数 a1 及其不确定度 u(a1),其来源于校准过程中结果误差的线性回归。
由于所有因素均为常量或与R、Ugl (W)成正比,因此可通过直线方程近似得出不确定度。
根据 EURAMET cg-18,全局扩展的不确定度方程式的影响因素可分为αgl项(包括所有常量不确定度)和βgl项(包括所有比例不确定度)。这可用简化的线性方程式来表示:
Ugl (W)≈αgl+βgl·R
其中截距为 αgl=Ugl (W=0),斜率为:

R为显示的称重值。


如何输入数值和配置QApp?
赛多利斯服务可根据 EURAMET cg-18 指南,使用赛多利斯校准软件Verical® 创建校准证书。根据校准证书,将上述方程式的被加数αgl 和因子βgl输入 QApp“测量不确定度”功能,以显示放置在天平称重盘上任何负载的不确定度。
QApp 还可进一步将“活动”状态设为开启或关闭,即是否显示不确定度。此外,用户还可选择不确定度以绝对值、相对值或过程精度表示。
相应地,QApp 会自动计算每个显示重量W 相应的绝对测量不确定度 U = a + b · W(使用选择的单位,即“g”或“mg”)或相对测量不确定度U* = U/W · 100%(以“%”计)。对于过程精度,相对测量不确定度的计算需乘以安全因子 | 过程精度因子,该因子可由用户输入:PA = ks · U*。

该因子可用于解释校准期间和|或增加所述不确定度的置信区间时无法考虑的对用户过程精度的影响。

如何理解显示的测量不确定度值?
根据EURAM ET cg-18 确定的测量不确定度是一种扩展不确定度——这意味着对于任何读数R,真实值在[R-U...R+U]区间内,概率为 95.45 %。对于图 2 中的示例,这对应于真实值在[50.0011g–0.00582g...50.0011g+0.00582g]=[49.99528g...50.00692g]区间,概率为 95.45 %。
根据良好文件记录规范,还可在打印设置中选择是否将不确定度打印出来。此外,还可输入其他信息,如校准证书编号(从中获取数值)、校准日期以及校准是否由经认证的校准实验室进行。通过GLP打印设置,可决定是否打印(以及应打印哪些)应用程序参数和设置。

Summary
通过Cubis® II天平提供的这一全新功能,赛多利斯能让用户轻松确定测量结果的不确定度或初始样品重量的过程精度,而无需根据校准证书中的图表进行计算。因此,校准证书是包含相关信息的重要文件,为测试和测量设备的监测需求提供支持。